
Foto: Handwerkskammer
So vermeiden Sie Ärger mit dubiosen Anbietern
Branchenbucheinträge sind eine attraktive Werbeform – in gedruckter Form und längst auch im Internet. Allerdings tummeln sich auf diesem wachsenden Markt auch zahlreiche „schwarze Schafe“. Und so erhalten Selbstständige und Gewerbetreibende – und selbst die Handwerkskammer Reutlingen – mit (un-) schöner Regelmäßigkeit Post von dubiosen Anbietern. Wer darauf eingeht, erhält einen überteuerten Eintrag in ein Verzeichnis von zweifelhaftem Nutzen.
Die Vorgehensweise
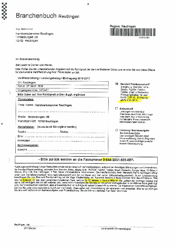
Es geht um Verzeichnisse wie „Gelbes Branchenbuch“ oder „Gewerbeauskunft-Zentrale“, die immer wieder für Ärger sorgen. Ein typischer Fall: Ein Reutlinger Betrieb wird per E-Mail angeschrieben und unter Verweis auf das Bundesdatenschutzgesetz über einen scheinbar bereits bestehenden Eintrag im Onlineverzeichnis gelbesbranchenbuch.com informiert, der in die Ausgabe des kommenden Jahres übernommen werden soll. Der Betrieb wird aufgefordert, die Daten und einen Anhang zu prüfen und gewünschte Korrekturen per Fax an den Anbieter zu schicken. Tatsächlich geht es um einen Neuvertrag für einen so genannten „Premiumeintrag“. Der Preis für den hervorgehobenen Eintrag samt Link auf die Homepage des Betriebs und eine Laufzeit von zwei Jahren beträgt mehr als 1500 Euro.
In der E-Mail gibt der Anbieter keine Daten von sich preis. Auf dem Datenblatt ist eine Faxnummer mit Frankfurter Vorwahl angegeben. Im Kleingedruckten wird als „Auftragnehmer & Verlagspartner“ eine GBB Ltd. mit Sitz auf den Marshallinseln genannt. An anderer Stelle, unter der Überschrift „Leistungsbeschreibung/Auftrag“, finden sich weitere Angaben: „Gerichtsstand ist Prag, Tschechische Republik. Es gilt tschechisches Recht.“ Vor zwei Jahren agierte dieser Anbieter noch von Thailand aus.
Weitere Informationen gibt es im Impressum der Internetseite. Als Anbieter wird eine MCP Holding Ltd. mit Sitz im mittelamerikanischen Land Belize. Die Unternehmen kooperiert mit wiederum mit zwei Partnerverlagen, der besagten GBB Ltd. und der Ucalegon Ltd. auf den Seychellen.

Darauf sollten Sie achten
Für Richard Schweizer ist dies kein Einzelfall: „Das Angebot an Online-Branchenverzeichnissen wächst stetig und mit ihm die Zahl unseriöser Anbieter.“ Der Rechtsberater der Handwerkskammer Reutlingen empfiehlt Betrieben, entsprechende Angebote in jedem Fall sorgfältig zu prüfen. Denn wer sorglos einen scheinbar bereits bestehenden Eintrag aktualisiere, erteile möglicherweise einen Auftrag, der den Betrieb recht teuer zu stehen komme, sagt Schweizer.
Aber überzogene Preise sind nur ein Teil des Problems. „Solche Einträge sind meist von zweifelhaftem Nutzen für die Betriebe, wenn nicht gar schlicht überflüssig“, betont Schweizer. Die Aussicht, neue Kunden zu gewinnen, sei gering, weil viele der angepriesenen Branchenverzeichnisse bei Verbrauchern und Internetnutzern vollkommen unbekannt seien.
Der Jurist empfiehlt denn auch, genau auf Produktnamen und Aufmachung zu achten. Unseriöse Anbieter suchten bewusst die Ähnlichkeit mit eingeführten Marken und bekannten Designs, um mit diesen verwechselt zu werden. Auch das "Gelbe Branchenbuch" sucht über Namenswahl und Farbgebung die Nähe zu den "Gelben Seiten" der Telefonbuchverlage.
Tipps für Betriebe
Unseriöse Anbieter sind meist recht kreativ, wenn es darum geht, an das Geld vertrauensseliger Kunden zu kommen. Der wirksamste Schutz ist ein nüchterner Blick auf das Angebot und den Anbieter. Bauen Sie auf den gesunden Menschenverstand. Grundsätzlich gilt: Erst prüfen, dann unterschreiben.
- Nehmen Sie den Anbieter unter die Lupe. Die wichtigsten Verzeichnisse werden von Telefonbuchverlagen betreut, wie zum Beispiel von der Deutsche Telekom Medien GmbH und ihren regionalen Partnern. In Württemberg ist dies die .wtv Württemberger Telefonbuch Verlag GmbH & Co. KG in Stuttgart.
- Prüfen Sie, welche Branchenverzeichnisse Sie bereits nutzen. Eine beliebte Praxis ist es, Aktualisierungen anzufordern und per Unterschrift bestätigen zu lassen. Häufig verbirgt sich hinter solchen „Korrekturabzügen“ aber tatsächlich ein erstmaliger Auftrag zu völlig überteuerten Bedingungen.
- Zahlreiche Anbieter versuchen den Anschein zu erwecken, es handele sich um behördliche Verzeichnisse. So zum Beispiel bei der „Gewerbeauskunft-Zentrale“, die leicht mit einem amtlichen Gewerberegister verwechselt werden kann.
- Lassen Sie sich nicht durch Ähnlichkeiten mit eingeführten Marken verwirren. Das „Gelbe Branchenbuch“ eines Anbieters mit Sitz auf den Marshallinseln kann schnell verwechselt werden mit den bewährten „Gelben Seiten“ der deutschen Telefonbuchverlage.Vorsicht bei vermeintlichen Gratisangeboten. Der als kostenlos beworbene Basiseintrag kann in Wahrheit schnell mehrere Hundert Euro kosten.
- Lesen Sie die Geschäftsbedingungen sorgfältig durch. Achten Sie auf das Kleingedruckte.Lassen Sie sich beraten: Wenn Sie nicht sicher sind, ob Sie auf das Angebot eingehen sollten, hilft fachlicher Rat. Den bekommen Sie bei den Rechtsexperten der Handwerkskammer (siehe Ansprechpartner).
- Auf per E-Mail verschickte Angebote, die weder Absender, noch Geschäftsadresse enthalten, sollten Sie grundsätzlich nicht eingehen.
- Nutzen Sie das Internet: Die Anbieter des „Gelben Branchenbuch“ sind seit Jahren mit ein und derselben Masche unterwegs und haben im Internet ihre Spuren hinterlassen.
Im Onlineforum des Vereins "Antispam e.V." tauschen sich Betroffene aus.
Merkblatt
Der Zentralverband des Deutschen Handwerks hat sich ebenfalls des Themas angenommen. Ein Merkblatt enthält einige Tipps, die Betriebe beachten wollten, wenn trotz aller Vorsicht eine Unterschrift geleistet worden ist.
Merkblatt "Warnung vor unseriösen Branchenverzeichnissen" (September 2012)
Musterschreiben
Was tun, wenn Sie einen Korrekturabzug unterschrieben an den Anbieter geschickt haben und Sie nun zur Kasse gebeten werden? Sie sollten nicht tatenlos bezahlen. Sie haben die Möglichkeit, den Vertrag wegen der offensichtlich absichtlich versteckten Kostenpflicht anzufechten und – falls der Anbieter nicht reagiert – gegebenenfalls Klage einzureichen. Die Rechtsabteilung der Handwerkskammer hat ein Musterschreiben formuliert.
Wichtiger Hinweis: Wir weisen ausdrücklich darauf hin, dass der Ausgang eines möglichen Rechtsstreits nicht mit Sicherheit vorhergesehen werden kann. Ein Gericht könnte auch zu dem Ergebnis kommen, dass eine arglistige Täuschung nicht vorliegt, sondern zumindest für den geschäftlich erfahrenen Unternehmer erkennbar war, dass es sich um ein kostenpflichtiges Angebot handelt.
Nützliche Links
Der Bundesanzeiger Verlag warnt vor dubiosen Angeboten und Bescheiden über Registereintragungen für Unternehmen und hat eine Liste der bereits aufgefallenen unlauteren Anbieter veröffentlicht (Stand: Januar 2016).
Bundesanzeiger – Liste bekannter unlauterer Adressbuchanbieter
Der Deutsche Schutzverband gegen Wirtschaftskriminalität (DSW) informiert ausführlich über die Maschen der Adressbuchschwindler.
Ein Freiberufler sah sich durch die unübersichtliche Gestaltung des Antragsformulars eines Branchenbuchanbieters getäuscht und weigerte sich, die Rechnung zu bezahlen. Das Landgericht Saarbrücken gab ihm Recht.
Zum überraschenden Charakter einer Entgeltklausel in Verträgen über Branchenbucheinträge.
Ansprechpartner
Wir erhalten in der Zwischenzeit Anfragen zu diesem Thema aus dem gesamten deutschsprachigen Raum. Das übersteigt die Kapazitäten unserer Rechtsabteilung jedoch bei weitem. Wenn Sie also Nachfragen haben, dann wenden Sie sich bitte an Ihre zuständige Kammer.
Falls Sie als Mitglied der Handwerkskammer Reutlingen dieser besonderen "Vertriebsmethode" erlegen sind und einen Vertrag möglicherweise bereits geschlossen haben, steht Ihnen die Handwerkskammer Reutlingen mit den nachfolgenden Ansprechpartnern gerne mit Rat und Tat zur Seite.